欢迎光临广西顶博发电机组制造有限公司官网!
国内专业柴油发电机品牌OEM厂家十多年技术锤炼 精益制造、经久耐用、安全稳定
全国咨询热线:13667715899
订购热线:13667715899 汪路
进口·合资发电机组
国产柴油发电机
特色功能发电机组
电机品牌系列
控制器系列
发电机配件
>
联系我们
13667715899
(汪路)

座机:0771-5791162

邮箱:2604045678@qq.com

微信号:13667715899

生产基地:广西南宁市高新区科创路10号2#车间1楼1-1

浙江销售中心:浙江绍兴l中国纺织五金机电城

江苏销售中心:江苏省泰兴市黄桥镇(13809016333 汪路)

沃尔沃柴油发电机组

发布时间:2020-07-17 03:55来源:顶博电力 人气:16681次
顶博系列沃尔沃柴油发电机组所配套动力为原装瑞典VOLVO公司生产的柴油发动机,采用全电子喷油控制技术,具有启动性能优良、电压稳定、低排放、低噪音,维护方便等优点。

沃尔沃发电机
   顶博系列沃尔沃柴油发电机组所配套动力为原装瑞典VOLVO公司系列柴油发动机,其采用全电子喷油控制技术,具有启动性能优良、电压稳定、运行可靠、低排放、低噪音,维护方便等优点,有良好的经济性,良好的高原适应能力。
 
  瑞典沃尔沃公司是世界一流的生产船用和工业用发动机及全套动力系统的制造商,一百多年来,沃尔沃始终秉持质量,安全,环保的核心价值,以卓越的产品和完善的服务,获得了广大用户的好评和欢迎。我公司为瑞典沃尔沃公司授权中国柴油发电机组OEM合作厂家,公司拥有现代化生产基地、专业的技术研发团队、先进的制造技术、完善的质量管理体系、健全的售后服务保障,服务网络遍布全国,为您提供沃尔沃柴油发电机组设计、供应、调试、维修全方位服务。
 

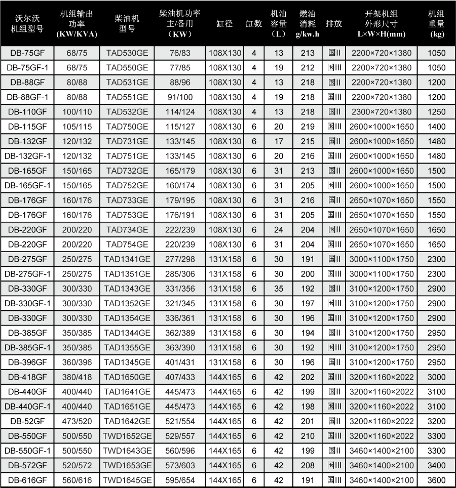
沃尔沃发电机型号参数

版权及免责声明:
①  凡注明"来源:顶博"的所有文字、图片信息,版权均属“beplay登录中心 ”所有,任何媒体、网站或个人未经本网书面授权可不得转载、摘编、复制、链接、镜像或以其他任何方式复制、发表。已取得我方书面授权的媒体、网站,在转载时必须注明"来源:顶博",违者将依法追究法律责任。
②  未注明"来源:顶博"的文/图等稿件均为转载稿,本网转载仅基于传递更多信息的目的,并不意味着赞同转载稿的观点,文章如果有侵犯版权或违反相关法规,请告知我们立刻删除!如其他媒体、网站或个人从本网转载使用,必须保留本网注明的稿件"来源",并自负版权等法律责任。如擅自篡改为"稿件来源:顶博",本网将依法追究法律责任。

推荐资讯

Baidu
map