顶博系列
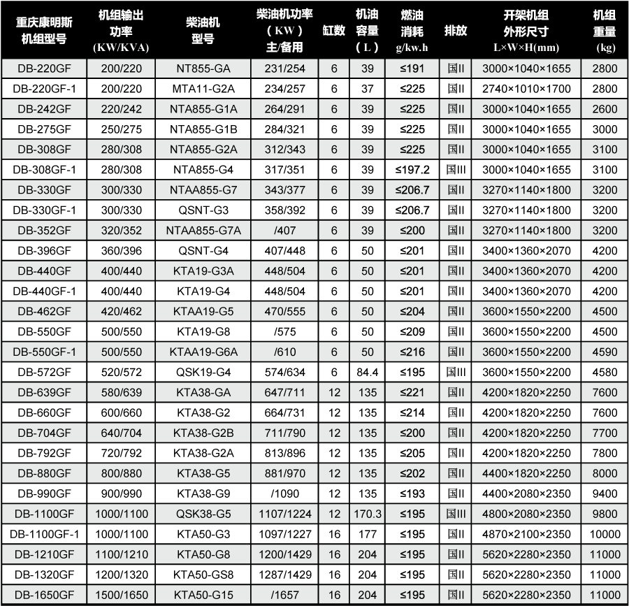
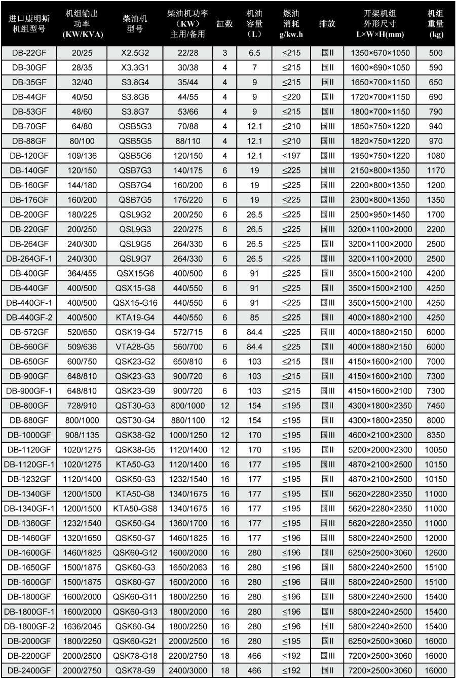
康明斯柴油发电机组分为重庆、东风、进口三个系列,其采用康明斯专利的
PT燃油系统,使发动机在满足环保排放的同时,具有更高的可靠性、耐久性、动力性和燃油经济性,产品具有品质优良、低燃油消耗、噪声低、输出功率大,性能可靠,具有体积小、重量轻、油耗低、功率高、工作可靠,配件供应及维修方便的特点。
康明斯是全球领先的动力解决方案提供者,产品线包括柴油发动机和代用燃料发动机、发动机关键零部件(燃油系统、控制系统、进气处理、滤清系统和尾气处理系统)以及发电系统等等。作为中国柴油机行业的外商投资者,康明斯在中国拥有30家机构,包括16家合资企业,员工10,000多名,在华累计投资超过10亿美元,分别有东风康明斯柴油发电机组,重庆康明斯柴油发电机组。其中东风康明斯生产B、C和L系列柴油发动机,重庆康明斯生产M、N和K系列柴油发动机。
beplay登录中心
拥有现代化生产基地、专业的技术研发团队、先进的制造技术、完善的质量管理体系、健全的售后服务保障,服务网络遍布全国,为您提供康明斯柴油发电机组设计、供应、调试、维修全方位服务。



更多产品详情,欢迎登录:
//m.oppomail.com/cummins.html